1. طريقة لحساب مقاومة نفاذية الهواء للهيكل المحيط بالجدار
1.
تحديد الثقل النوعي للشكل الخارجي و
الهواء الداخلي ، N / m2
,
(6.1)
.
(6.2)
2.
حدد الفرق في ضغط الهواء
على الأسطح الخارجية والداخلية
مغلف المبنى ، Pa
(6.3)
|
أين |
أقصى |
3. احسب
مقاومة نفاذية الهواء المطلوبة ،
m2hPa / كغ

|
أين |
معياري |
4.
أوجد المقاومة الفعلية الإجمالية
التهوية من الخارج
الأسوار ، m2hPa / كجم
,
(6.5)
|
أين |
مقاومة |
إذا
الحالة
,
ثم يستجيب الهيكل المحيط
متطلبات نفاذية الهواء ، إذا
لم يتم استيفاء الشرط ، إذن
اتخاذ خطوات لزيادة
التهوية.
مثال
10
دفع
مقاومة التهوية
الهيكل المحيط بالجدار
متوسط الحساب والدقيق
بالنظر إلى العوامل الموصوفة ، يتم إجراء الحساب المتوسط وفقًا للمخطط التالي. إذا 1 متر مربع. يتطلب m 100 W من التدفق الحراري ، ثم غرفة تبلغ 20 مترًا مربعًا. يجب أن يتلقى م 2000 واط. المبرد (ثنائي المعدن أو الألمنيوم) من ثمانية أقسام يصدر حوالي 150 واط. نقسم 2000 على 150 ، نحصل على 13 قسمًا. لكن هذا حساب موسع إلى حد ما للحمل الحراري.
الشخص الدقيق يبدو مخيفًا بعض الشيء. في الواقع ، لا شيء معقد. ها هي الصيغة:
- ف1 - نوع الزجاج (عادي = 1.27 ، مزدوج = 1.0 ، ثلاثي = 0.85) ؛
- ف2 - عزل الجدار (ضعيف أو غائب = 1.27 ، جداران من الطوب = 1.0 ، حديث ، مرتفع = 0.85) ؛
- ف3 - نسبة المساحة الإجمالية لفتحات النوافذ إلى مساحة الأرضية (40٪ = 1.2 ، 30٪ = 1.1 ، 20٪ - 0.9 ، 10٪ = 0.8) ؛
- ف4 - درجة الحرارة الخارجية (يتم أخذ القيمة الدنيا: -35 درجة مئوية = 1.5 ، -25 درجة مئوية = 1.3 ، -20 درجة مئوية = 1.1 ، -15 درجة مئوية = 0.9 ، -10 درجة مئوية = 0.7) ؛
- ف5 - عدد الجدران الخارجية في الغرفة (الأربعة = 1.4 ، ثلاثة = 1.3 ، غرفة الزاوية = 1.2 ، واحد = 1.2) ؛
- ف6 - نوع غرفة التصميم فوق غرفة التصميم (العلية الباردة = 1.0 ، العلية الدافئة = 0.9 ، الغرفة السكنية المسخنة = 0.8) ؛
- ف7 - ارتفاع السقف (4.5 م = 1.2 ، 4.0 م = 1.15 ، 3.5 م = 1.1 ، 3.0 م = 1.05 ، 2.5 م = 1.3).
باستخدام أي من الطرق الموضحة ، من الممكن حساب الحمل الحراري لمبنى سكني.
3. طريقة حساب تأثير التسلل على درجة حرارة السطح الداخلي ومعامل انتقال الحرارة لغلاف المبنى
1.
احسب كمية الهواء الداخل
من خلال السياج الخارجي ، كجم / (م 2 س)
.
(6.7)
2.
احسب درجة الحرارة الداخلية
سطح السياج أثناء التسلل ،
С
,
(6.8)
|
أين |
محدد |
|
ه |
قاعدة |
|
صشي |
حراري |
.
(6.9)
3.
احسب درجة الحرارة الداخلية
سطح السياج في الغياب
التكثيف ، С
.
(6.10)
4. تحديد
معامل انتقال الحرارة للسياج
مع الأخذ بعين الاعتبار التسلل ، W / (m2С)
.
(6.11)
5.
احسب معامل انتقال الحرارة
المبارزة في الغياب
التسلل حسب المعادلة (2.6) ، W / (m2С)
.
(6.12)
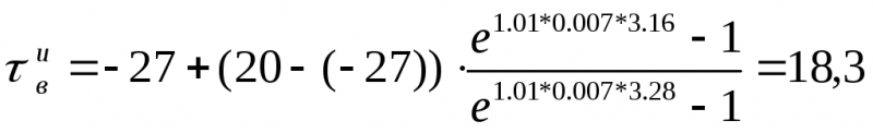
مثال
12
دفع
تأثير التسلل على درجة الحرارة
السطح الداخلي
والمعامل
نقل الحرارة مغلف المبنى
أولي
البيانات
قيم
الكميات المطلوبة للحساب:
Δص= 27.54 باسكال ؛رن = -27 درجة مئوية ؛
رالخامس = 20 درجة مئوية ؛
الخامسصالة= 4.4 م / ث ؛

ه= 2,718;

صالخامس = 0.115 m2С / W ؛
معالخامس = 1.01 كيلو جول / (كجم).
طلب
عملية حسابية
احسب
كمية الهواء التي تمر عبرها
السياج الخارجي حسب المعادلة (6.7) ،
كجم / (m2h)
جيو = 27,54/4088,7 = 0,007
ز / (M2h).
احسب
درجة حرارة السطح الداخلية
سياج أثناء التسلل ، С ،
والمقاومة الحرارية لانتقال الحرارة
أرفق الهيكل ، بدءا من
الهواء الخارجي حتى قسم معين
في سمك السياج حسب المعادلتين (6.8) و
(6.9).
m2С
/ ث ؛
ج.
عد
درجة حرارة السطح الداخلية
حراس في حالة عدم وجود تكاثف ،
С
ج.
من
يتبع ذلك حسابات درجة الحرارة
السطح الداخلي أثناء الترشيح
أقل من دون تسلل (
بواسطة 0.1С.
تحديد
معامل انتقال الحرارة للسياج
مع مراعاة التسلل حسب المعادلة
(6.11) ، W / (m2С)
W / (M2С).
احسب
معامل انتقال الحرارة للسياج
في حالة عدم وجود تسلل
المعادلة (2.6) ، W / (m2S)
W / (M2С).
لذا
وهكذا وجد أن المعامل
نقل الحرارة مع مراعاة التسلل
كوأكثر
المعامل المقابل بدون
تسربك(0,308 > 0,305).
مراقبة
أسئلة للقسم 6:
1.
ما هو الغرض الرئيسي من حساب الهواء
الوضع في الهواء الطلق
الأسوار؟
2.
كيف يؤثر التسلل على درجة الحرارة؟
السطح الداخلي
والمعامل
انتقال الحرارة لمغلف المبنى؟
7.
متطلبات
لاستهلاك الطاقة الحرارية للتدفئة
وتهوية المبنى
حساب حجم التسلل
| حساب حجم التسلل. |
من أجل أن يكون تأثير الحمض على شوائب الكربونات ملحوظًا ، في حالة هطول الأمطار التي تتسرب عبر منطقة التهوية ، يجب أن يكون الرقم الهيدروجيني أقل من 4 ، وهو أمر نادر جدًا (بشكل رئيسي في المناطق الصناعية وليس دائمًا). في هذه الحالة ، يتم تحييد المحاليل الحمضية تمامًا في صخور منطقة التهوية. في الوقت نفسه ، وفقًا للحسابات ، ستتدفق 6 جم 3042 ″ إلى سطح طبقة المياه الجوفية بمساحة 1 م 2 ، وستكون الزيادة في تركيز المياه الجوفية 4 مجم / لتر فقط. وبالتالي ، فإن تلوث المياه الجوفية بمركبات الكبريت بسبب دخول الترسيب الملوث من الغلاف الجوي ضئيل. فيما يتعلق بأحجام الجريان السطحي التي تدخل المياه الجوفية ومنطقة توزيعها أثناء التسلل ، فإن تسرب المياه الصناعية النظيفة المشروط في أراضي ESR و ZLO وتسرب المياه الصناعية العذبة في منطقة ASZ هي من أهمية قصوى. تتفاعل المياه العادمة ، المتسربة عبر منطقة التهوية ، مع الصخور. تبلغ خسائر الترشيح من ESR حوالي 120-130 ألف متر مكعب / سنة (أو -0.23 إعلان / سنة ، أو 6.33 متر مكعب / يوم). قيمة التسلل في EDT دون الأخذ بعين الاعتبار التبخر والنتح هي 2.2.10-3m / يوم (أو 0.77 إعلان / سنة) ، وتؤدي هذه الحلول إلى تغيير تركيبتها بالترشيح من خلال منطقة التهوية. بسبب ترشيح الجبس من الصخور ، تزداد القوة الأيونية للمحلول. بالإضافة إلى ذلك ، يحدث انحلال الكالسيت أولاً ، الموجود في الصخور بكمية صغيرة. بعد ذلك ، وفقًا لبيانات المحاكاة ، نظرًا لانتهاك نسبة أيونات Ca2 + في المحلول ، سيتم ملاحظة ترسيب الدولوميت أثناء انحلال الجبس. أيضًا ، عندما يتفاعل المحلول مع الصخور ، فإن الأشكال المهاجرة من الألومنيوم (A102 و A1 (0H) 4 بشكل أساسي) سوف تنتقل إليه.
في الحالة العامة ، يتم تقييم حماية المياه الجوفية على أساس أربعة مؤشرات: عمق المياه الجوفية أو سمك منطقة التهوية ، والتركيب والتركيب الصخري للصخور المكونة لهذه المنطقة ، وسمك وانتشار منخفض- رواسب قابلة للاختراق فوق المياه الجوفية ، وخصائص الترشيح للصخور فوق مستوى المياه الجوفية. العلامتان الأخيرتان لهما التأثير الأكبر على سرعة وحجم المياه الملوثة المتسربة ، وعمق المياه الجوفية له أهمية ثانوية. لذلك ، في التقييمات الأولية لفئات الحماية ، يتم استخدام معلمة سمك منطقة التهوية وحسابات أعماق ومعدلات تسرب المياه الملوثة. في تقييمات أكثر تفصيلاً ، يتم إدخال معلمات مثل خصائص امتصاص وامتصاص الصخور ونسب مستويات الخزان الجوفي في الحسابات أو النماذج التنبؤية من أجل تقييم الاتجاهات الأفقية وحجم الهجرة الجانبية للمياه الملوثة. في نفس المرحلة ، إلى جانب العمليات الطبيعية ، من الضروري مراعاة العمليات الفيزيائية والكيميائية التكنولوجية (خصائص السائل).
يجب أخذ الحمل الحراري المقدّر لكل ساعة للتدفئة وفقًا لمشاريع البناء القياسية أو الفردية.
إذا كانت قيمة درجة حرارة الهواء الخارجي المحسوبة المعتمدة في المشروع لتصميم التدفئة تختلف عن القيمة القياسية الحالية لمنطقة معينة ، فمن الضروري إعادة حساب الحمل الحراري المقدّر بالساعة للمبنى المُدفأ المعطى في المشروع وفقًا للصيغة:
سمرجع سابق = سس العلاقات العامة
أين: سمرجع سابق - الحمل الحراري المحسوب بالساعة لتدفئة المبنى ، Gcal / h (GJ / h) ؛
رالخامس هي درجة حرارة الهواء التصميمي في المبنى المُدفأ ، C ؛ مأخوذة وفقًا لرأس SNiP 2.04.05-91 ووفقًا للجدول. واحد؛
رلا - تصميم درجة حرارة الهواء الخارجية لتصميم التدفئة في المنطقة التي يقع فيها المبنى ، وفقًا لـ SNiP 2.04.05-91، C ؛
الجدول 1 درجة حرارة الهواء المحسوبة في المباني المدفأة
|
اسم المبنى |
درجة حرارة الهواء المقدرة في المبنى t C |
|
مبنى سكني |
18 |
|
فندق ، نزل ، إداري |
18 — 20 |
|
روضة أطفال ، حضانة ، مستوصف ، عيادة خارجية ، مستوصف ، مستشفى |
20 |
|
مؤسسة تعليمية متخصصة عليا ، ثانوية ، مدرسة ، مؤسسة تموين عامة داخلية ، نادي |
16 |
|
مسرح ، متجر ، محطة إطفاء |
15 |
|
كراج |
10 |
|
حمام |
25 |
في المناطق ذات درجة حرارة الهواء الخارجية المقدرة لتصميم التدفئة عند 31 درجة مئوية أو أقل ، يجب أخذ درجة حرارة الهواء التصميمي داخل المباني السكنية المدفأة وفقًا للفصل SNiP 2.08.01-85 20 C.
طرق سهلة لحساب الحمل الحراري
هناك حاجة إلى أي حساب للحمل الحراري لتحسين معايير نظام التدفئة أو تحسين خصائص العزل الحراري للمنزل. بعد تنفيذه ، يتم اختيار طرق معينة لتنظيم حمل التدفئة للتدفئة. ضع في اعتبارك طرقًا غير كثيفة العمالة لحساب هذه المعلمة لنظام التدفئة.
اعتماد طاقة التدفئة على المنطقة
بالنسبة للمنزل ذي الأحجام القياسية للغرف ، وارتفاع الأسقف والعزل الحراري الجيد ، يمكن تطبيق نسبة معروفة من مساحة الغرفة إلى ناتج الحرارة المطلوب. في هذه الحالة ، ستكون هناك حاجة إلى 1 كيلو وات من الحرارة لكل 10 م². للنتيجة التي تم الحصول عليها ، من الضروري تطبيق عامل تصحيح حسب المنطقة المناخية.
لنفترض أن المنزل يقع في منطقة موسكو. مساحتها الإجمالية 150 م². في هذه الحالة ، سيكون الحمل الحراري لكل ساعة عند التسخين مساويًا لـ:
15 * 1 = 15 كيلوواط ساعة
العيب الرئيسي لهذه الطريقة هو الخطأ الكبير. لا يأخذ الحساب في الاعتبار التغيرات في عوامل الطقس ، وكذلك ميزات المبنى - مقاومة انتقال الحرارة للجدران والنوافذ. لذلك ، لا ينصح باستخدامه في الممارسة العملية.
حساب موسع للحمل الحراري للمبنى
يتميز الحساب الموسع لحمل التدفئة بنتائج أكثر دقة. في البداية ، تم استخدامه لإجراء حساب مسبق لهذه المعلمة عندما كان من المستحيل تحديد الخصائص الدقيقة للمبنى. فيما يلي الصيغة العامة لتحديد الحمل الحراري للتدفئة:
أين ف °
- الخصائص الحرارية المحددة للهيكل. يجب أن تؤخذ القيم من الجدول المقابل ، أ
- معامل التصحيح المذكور اعلاه. فن
- الحجم الخارجي للمبنى ، متر مكعب ، تلفزيون
و Tnro
- قيم درجات الحرارة داخل المنزل وخارجه.
افترض أنه من الضروري حساب الحد الأقصى لحمل التدفئة لكل ساعة في منزل بحجم خارجي 480 متر مكعب (مساحة 160 متر مربع ، منزل من طابقين). في هذه الحالة ، ستكون الخاصية الحرارية مساوية لـ 0.49 واط / متر مكعب * درجة مئوية. عامل التصحيح أ = 1 (لمنطقة موسكو). يجب أن تكون درجة الحرارة المثلى داخل المسكن (Tvn) + 22 درجة مئوية. ستكون درجة الحرارة الخارجية -15 درجة مئوية. نستخدم الصيغة لحساب حمل التسخين بالساعة:
Q = 0.49 * 1 * 480 (22 + 15) = 9.408 كيلو واط
مقارنة بالحساب السابق ، تكون القيمة الناتجة أقل. ومع ذلك ، فإنه يأخذ في الاعتبار عوامل مهمة - درجة الحرارة داخل الغرفة ، في الشارع ، الحجم الإجمالي للمبنى. يمكن إجراء حسابات مماثلة لكل غرفة.تتيح طريقة حساب حمل التسخين وفقًا للمؤشرات المجمعة تحديد القدرة المثلى لكل مشعاع في غرفة معينة. للحصول على حساب أكثر دقة ، تحتاج إلى معرفة متوسط قيم درجة الحرارة لمنطقة معينة.


